Αναζήτηση αποτελεσμάτων
Δες όλα τα αποτελέσματα
Γίνε Μέλος
Σύνδεση
Εγγραφή
Night Mode
Danilson Julião Mateus Mateus
Χρονολόγιο
Φίλοι
τις φωτογραφίες μου
Videos
Ομάδες
Events
ζει στην
Maputo
Από
Mocuba
σπούδασε UEM στο
UNIVERSIDADE EDUARDO MONDLANE
Male
μόνος
03/06/2003
ακολουθείται από
3 μέλη
Πληροφορίες Εκπαίδευσης
Nível acadêmico
Ensino Superior
τις φωτογραφίες μου
Φίλοι
11
Daniel Ngovene
Jessica Mbanguine
Fernando Gimo
Francelino Paulino Mboa
Verissimo Manuel Algema
Crimildo Felisberto Nhachengo
Azaela Bernardo Bila
Ching Sitole
Alfredo Wiliamo
Telça Massingue
Isaquel Angelo Airone
Ομάδες
Matematica Up
Events
Aniversário da FiloTchila
Πρόσφατες ενημερώσεις
όλα
όλα
Κείμενο
Σύνδεσμοι
Media
τις φωτογραφίες μου
Χάρτες
Άρθρα
Προϊόντα
Δημοσκοπήσεις
Videos
Αρχεία
Danilson Julião Mateus Mateus
πρόσθεσε μια φωτογραφία
2025-02-27 07:10:31
Derivada de e^x por definicão.
Derivada de e^x por definicão.
1
0 Answers
0 Μοιράστηκε
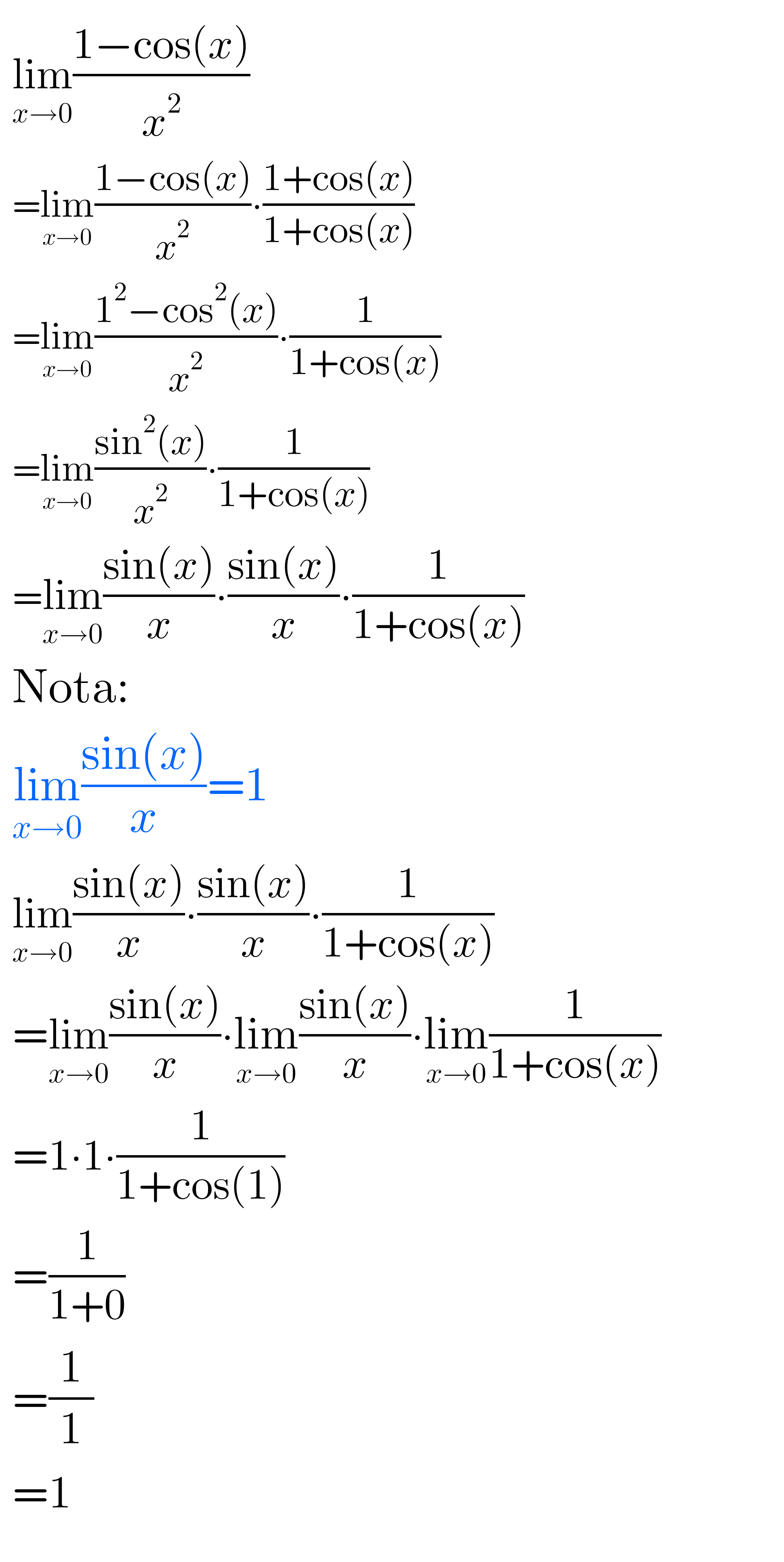
Danilson Julião Mateus Mateus
πρόσθεσε μια φωτογραφία
2025-02-26 20:06:37
1
0 Answers
0 Μοιράστηκε
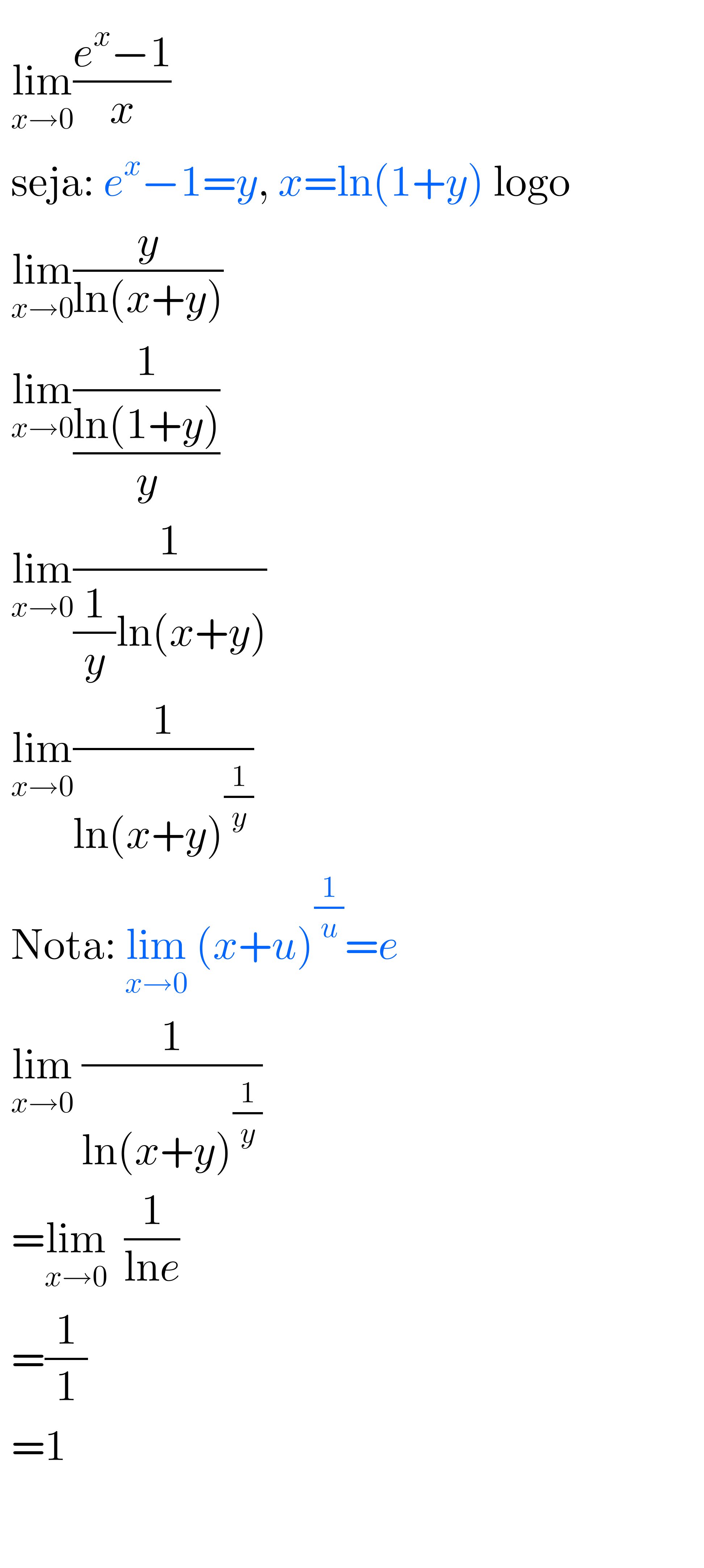
Danilson Julião Mateus Mateus
πρόσθεσε μια φωτογραφία
2025-02-26 19:43:33
1
0 Answers
0 Μοιράστηκε
Danilson Julião Mateus Mateus
πρόσθεσε μια φωτογραφία
2025-02-25 06:36:56
Derivada de √x por definição.
Derivada de √x por definição.
3
0 Answers
0 Μοιράστηκε
Danilson Julião Mateus Mateus
πρόσθεσε μια φωτογραφία
2025-02-25 06:34:48
Derivada de x² por definição.
Derivada de x² por definição.
2
0 Answers
0 Μοιράστηκε
Danilson Julião Mateus Mateus
ενημερώθηκε η φωτογραφία προφίλ
2025-01-30 09:59:28
0 Answers
0 Μοιράστηκε
Danilson Julião Mateus Mateus
ενημερώθηκε η φωτογραφία προφίλ
2024-01-24 06:47:29
0 Answers
0 Μοιράστηκε
Danilson Julião Mateus Mateus
ενημερώθηκε η φωτογραφία εξώφυλλου
2024-01-24 06:47:25
1
0 Answers
0 Μοιράστηκε
και άλλες ιστορίες